楼市观察

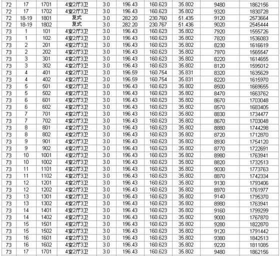
瑞景国际第三期72、73、87、88、97、99价目表
吴江楼市网  发布时间:2011-09-14  来源:吴江楼市网  点击数:14010

       吴江市商品房“一套一标”价目表
 
瑞景国际第三期72、73、87、88、97、99价目表
 
瑞景国际第三期72、73、87、88、97、99价目表
  • 吴江二手房,租房,扫以上↑微信二维码关注

  • 更多吴江楼市资讯,请扫以上↑微信二维码关注

发表评论 (理智评论文明上网,拒绝恶意谩骂)

最新留言

更多
    暂时无留言!