吴江楼市网、吴江新房、吴江二手房、吴江租房、吴江出租、吴江出售

吴江房产新闻

    楼盘快讯 置业宝典
    楼市观察 政策法规

吴江楼盘

    新房 二手房 租房
    别墅 写字楼 商铺

吴江房产专题

    探盘手记 项目专题
    置业顾问 热点专题

吴江房地产

    人物 企业
    招聘 八卦

地图找房

    二手 新房
    租房 商家

楼市观察

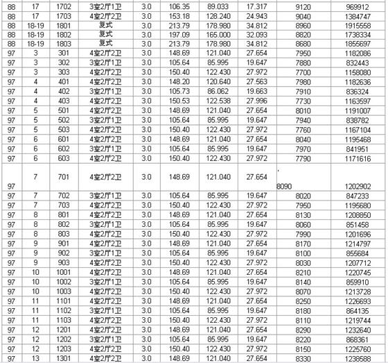
瑞景国际第三期72、73、87、88、97、99价目表
吴江楼市网  发布时间:2011-09-14  来源:吴江楼市网  点击数:14009
瑞景国际第三期72、73、87、88、97、99价目表

瑞景国际第三期72、73、87、88、97、99价目表

瑞景国际第三期72、73、87、88、97、99价目表

吴江房产网为您提供吴江房产信息和吴江二手房信息!了解更多吴江楼市请到www.wjls.com.cn

  • 吴江二手房,租房,扫以上↑微信二维码关注

  • 更多吴江楼市资讯,请扫以上↑微信二维码关注

【上一页】    1      2     3     4      5      6      7      8    【下一页】

发表评论 (理智评论文明上网,拒绝恶意谩骂)

最新留言

更多
    暂时无留言!

相关新闻

  • 『国内』 上海二手房单日网签成交量再创5年新高 地产行业基本面或持续改善
  • 『国内』 4月近四成百强房企销售正增长 这家企业同比大增168.9%
  • 『国内』 热度攀升 成交向好 我市多个楼盘交出亮眼成绩单
  • 『国内』 一线城市楼市延续“小阳春”行情
  • 『国内』 多地楼市新政“五一”实施 房地产市场热度持续攀升
  • 『国内』 新政密集落地 小长假热点城市楼市升温
  • 『国内』 扎实推进城市更新 因城施策稳定房地产市场
  • 『国内』 从“有房住”到“住得好” 城市更新推动居住环境提升

家装美图

更多

  • 我把吧台搬回家 亮

  • 打造儿童房好风水五

  • 小户型之现代简约装

  • 房子可以小,但是色

  • 韩式木门 又美又酷

地产八卦

更多

  • 香港迪士尼2015年内

  • 吴中拿出太湖新城1

  • 苏州湾科技城:整合

  • 服务收入已占四成

地产人物

更多
    日前,金地集团董事长凌克在中城联盟直播论坛上作了题为《未来已来,面向未来的房地产能
    在2018博鳌房地产论坛上,中国房地产业协会原副会长、民政部养老服务业专家委员会委员朱
    今天,房价这么高,李老板和中国所有开发商一样,卖得很开森。至于说他内地卖出的,不过
关于我们 - 版权声明 - 帮助(?) - 广告服务 - 联系我们 - 用户协议 - 用户注册
吴江楼市网房管家下载     热门关键词: 吴江房产网┊ 吴江房产┊ 吴江二手房
金润传媒旗下网站: 上海楼市网┊ 姑苏房产网┊ 吴江信息港房产频道┊ 吴江楼市网┊ 张家港房产网┊ 虞城楼市┊ 靖江楼市   吴江楼市腾讯微博
苏ICP备10119780号-1 增值业务许可证:苏B2-20140376 广告投放热线:广告投放电话 EMail:联系邮箱 客服QQ:客服QQ